国际肿瘤学杂志 ›› 2022, Vol. 49 ›› Issue (10): 597-603.doi: 10.3760/cma.j.cn371439-20220330-00118

• 论著 • 上一篇    下一篇

谷胱甘肽过氧化物酶家族与结直肠癌患者生存预后的关系

郝海亚1, 李树林1,2(), 张荣强3(), 左泽华1   

  1. 1新疆医科大学公共卫生学院,乌鲁木齐 830011
    2乌鲁木齐市疾病预防控制中心,乌鲁木齐 830026
    3陕西中医药大学公共卫生学院,咸阳 712046
  • 收稿日期:2022-03-30 修回日期:2022-09-10 出版日期:2022-10-08 发布日期:2022-12-01
  • 通讯作者: 李树林,张荣强 E-mail:64018790@qq.com;zhangrqxianyang@163.com

Relationship between glutathione peroxidases family and survival prognosis in patients with colorectal cancer

Hao Haiya1, Li Shulin1,2(), Zhang Rongqiang3(), Zuo Zehua1   

  1. 1School of Public Health, Xinjiang Medical University, Urumqi 830011, China
    2Urumqi Center for Disease Control and Prevention, Urumqi 830026, China
    3School of Public Health, Shaanxi University of Chinese Medicine, Xianyang 712046, China
  • Received:2022-03-30 Revised:2022-09-10 Online:2022-10-08 Published:2022-12-01
  • Contact: Li Shulin,Zhang Rongqiang E-mail:64018790@qq.com;zhangrqxianyang@163.com

摘要:

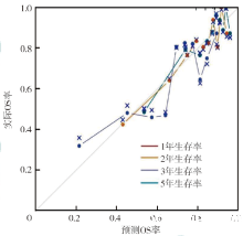
目的 探讨谷胱甘肽过氧化物酶(GPX)在结直肠癌组织中的基因表达与生存预后的关系,构建和评价GPX对结直肠癌患者生存预后的列线图预测模型。方法 从癌症基因组图谱(TCGA)数据库下载620例结直肠癌患者(结肠癌455例,直肠癌165例)的GPX基因表达数据等临床资料,同时下载820例正常人群的GPX基因表达数据作为对照,经R语言预处理并对基因表达数据进行差异表达分析。利用Spearman秩相关分析肠癌组织中GPX基因表达与肿瘤突变负荷(TMB)的相关性。采用Cox风险回归模型分析结直肠癌患者生存预后的影响因素,构建预测结肠癌、直肠癌患者总生存期(OS)的列线图模型并采用校准曲线评估其预测性能。结果 GPX家族中,GPX1、GPX2、GPX3、GPX4、GPX5、GPX7、GPX8 mRNA在结肠癌患者和正常人群的表达差异具有统计学意义,且结肠癌患者GPX1、GPX2、GPX4、GPX8 mRNA的表达高于正常人群(均P<0.05);直肠癌患者和正常人群GPX1、GPX2、GPX3、GPX4、GPX7、GPX8 mRNA的表达差异均具有统计学意义,且直肠癌患者GPX1、GPX2、GPX4、GPX7、GPX8 mRNA的表达高于正常人群(均P<0.05)。Spearman秩相关分析显示,GPX2(rs=-0.27,P<0.001)和GPX7(rs=-0.11,P=0.043)在结肠癌中的表达与TMB呈负相关,直肠癌组织中GPX基因表达与TMB均不相关(均P>0.05)。在结肠癌中,单因素分析显示,GPX3(HR=1.22,95%CI为1.05~1.43,P=0.012)、GPX4(HR=1.39,95%CI为1.01~1.92,P=0.045)、年龄(HR=1.02,95%CI为1.01~1.04,P=0.010)、pTNM分期(HR=1.78,95%CI为1.43~2.21,P<0.001)为患者OS的影响因素;多因素分析显示,GPX4(HR=1.96,95%CI为1.09~3.51,P=0.024)、年龄(HR=1.02,95%CI为1.00~1.04,P=0.042)、pTNM分期(HR=1.61,95%CI为1.21~2.15,P=0.001)为患者OS的独立危险因素。在直肠癌中,单因素分析显示,年龄(HR=1.08,95%CI为1.04~1.13,P<0.001)是患者OS的影响因素;多因素分析显示,GPX7(HR=0.44,95%CI为0.22~0.88,P=0.020)、GPX8(HR=3.17,95%CI为1.63~6.17,P=0.001)、年龄(HR=1.10,95%CI为1.04~1.16,P=0.001)为患者OS的独立影响因素。预测结肠癌、直肠癌患者OS的列线图模型一致性指数(C-index)分别为0.71(95%CI为0.63~0.79)和0.88(95%CI为0.82~0.94),校准曲线显示两模型预测曲线与真实曲线拟合度良好。结论 GPX4是影响结肠癌患者预后的独立危险因素,GPX4高表达结肠癌患者的预后较差;GPX7、GPX8是直肠癌患者预后的独立影响因素,GPX7低表达、GPX8高表达的直肠癌患者预后较差;基于上述因素构建的列线图可以较好地预测结肠癌、直肠癌患者的预后。

关键词: 结直肠肿瘤, 谷胱甘肽过氧化物酶, 列线图

Abstract:

Objective To investigate the relationship between glutathione peroxidases (GPXs) gene expression in colorectal cancer tissues and survival prognosis, and to construct and evaluate a nomogram prediction model of GPXs for survival prognosis of colorectal cancer patients. Methods The GPXs gene expresion data and other clinical data of 620 patients with colorectal cancer (455 cases of colon cancer and 165 cases of rectal cancer) were downloaded from The Cancer Genome Atlas (TCGA) database, and the GPXs gene expression data of 820 normal people were downloaded as controls, preprocessed by R language, and the gene expression data were analyzed for differential expression. Spearman rank correlation was used to analyze the correlation between GPXs gene expression and tumor mutation burden (TMB) in colorectal cancer tissues. Cox risk regression model was used to analyze the influencing factors of survival and prognosis of colorectal cancer patients. Nomogram models were constructed to predict overall survival (OS) of colon cancer and rectal cancer patients, and its predictive performance was evaluated by calibration curve. Results In the GPXs family, there were statistically significant differences in the mRNA expressions of GPX1, GPX2, GPX3, GPX4, GPX5, GPX7 and GPX8 between colon cancer patients and normal population, and the mRNA expressions of GPX1, GPX2, GPX4 and GPX8 in colon cancer patients were higher than those in normal population (all P<0.05). There were statistically significant differences in the mRNA expressions of GPX1, GPX2, GPX3, GPX4, GPX7 and GPX8 between rectal cancer patients and normal population, and the mRNA expressions of GPX1, GPX2, GPX4, GPX7 and GPX8 in rectal cancer patients were higher than those in normal population (all P<0.05). Spearman rank correlation analysis showed that GPX2 (rs=-0.27, P<0.001) and GPX7 (rs=-0.11, P=0.043) expressions were negatively correlated with TMB in colon cancer. There were no significant correlations between GPXs genes expressions and TMB in rectal cancer tissues (all P>0.05). In colon cancer, univariate analysis showed that GPX3 (HR=1.22, 95%CI: 1.05-1.43, P=0.012), GPX4 (HR=1.39, 95%CI: 1.01-1.92, P=0.045), age (HR=1.02, 95%CI: 1.01-1.04, P=0.010) and pTNM-stage (HR=1.78, 95%CI: 1.43-2.21, P<0.001) were the influencing factors of OS. Multivariate analysis showed that GPX4 (HR=1.96, 95%CI: 1.09-3.51, P=0.024), age (HR=1.02, 95%CI: 1.00-1.04, P=0.042) and pTNM-stage (HR=1.61, 95%CI: 1.21-2.15, P=0.001) were the independent risk factors of OS. In rectal cancer, univariate analysis showed that age (HR=1.08, 95%CI: 1.04-1.13, P<0.001) was the influencing factor of OS. Multivariate analysis showed that GPX7 (HR=0.44, 95%CI: 0.22-0.88, P=0.020), GPX8 (HR=3.17, 95%CI: 1.63-6.17, P=0.001) and age (HR=1.10, 95%CI: 1.04-1.16, P=0.001) were the independent influencing factors of OS. The consistency index (C-index) of the nomogram model for predicting OS in patients with colon cancer and rectal cancer were 0.71 (95%CI: 0.63-0.79) and 0.88 (95%CI: 0.82-0.94) respectively. The calibration curve showed that the prediction curve of the two models had a good fit with the real curve. Conclusion GPX4 is an independent risk factor affecting the prognosis of colon cancer patients. Patients with high GPX4 expression have a poor prognosis. GPX7 and GPX8 are independent prognostic factors for rectal cancer patients, and the rectal cancer patients with low GPX7 expression and high GPX8 expression have poor prognosis. The nomogram constructed based on the above factors can better predict the prognosis of patients with colon cancer and rectal cancer.

Key words: Colorectal neoplasms, Glutathione peroxidases, Nomogram

Baidu
betway88官网手机版